1 ขนาด รูปร่าง และการวางแนวแปลง
การปฏิบัติงานจริง คุณควรพิจารณาตามลำดับความสำคัญดังนี้: 1. สำรวจพื้นที่: ดูแนวความลาดชันหรือแนวการไหลของน้ำเพื่อกำหนด การวางแนว 2. กำหนดพื้นที่เก็บเกี่ยว: ตั้งเป้าที่ 5 ตร.ม. เป็นตัวตั้ง แล้วบวกพื้นที่ขอบออกไปจนได้ ขนาดแปลงรวม 3. เลือกรูปร่าง: หากพื้นที่ดินสม่ำเสมอดี ให้เน้น สี่เหลี่ยมจัตุรัส เพื่อลดงานในการตัดขอบแปลง
แปลงทดลอง คือ พื้นที่ที่เราใช้ในการทดลองวิธีการต่าง ๆ อย่างเป็นระบบ ดังนั้น ขนาดของแปลงจึงไม่ได้หมายถึงแค่พื้นที่ที่เราจะเก็บเกี่ยวผลผลิตเท่านั้น แต่รวมถึงพื้นที่ทั้งหมดที่ได้รับวิธีการทดลองนั้น ๆ ด้วย รูปร่างของแปลงก็คืออัตราส่วนระหว่างความยาวและความกว้าง ส่วนการวางแนวของแปลงคือการเลือกทิศทางของความยาวแปลง ซึ่งแปลงรูปสี่เหลี่ยมจัตุรัสจะไม่สามารถกำหนดทิศทางการวางแนวได้
1.1 ผลกระทบของขนาด รูปร่าง และการวางแนวของแปลง
สิ่งเหล่านี้มีผลอย่างมากต่อความคลาดเคลื่อนที่เกิดขึ้นในการทดลอง ถ้าแปลงเล็กเกินไป ผลลัพธ์ที่ได้อาจไม่น่าเชื่อถือ หรือถ้าแปลงใหญ่เกินความจำเป็น ก็จะทำให้เสียเวลาและทรัพยากรโดยใช่เหตุ แปลงรูปสี่เหลี่ยมจัตุรัสซึ่งมีเส้นรอบรูปน้อยที่สุด จะช่วยลดจำนวนต้นพืชที่ได้รับผลกระทบจากขอบแปลงได้ นอกจากนี้ การวางแนวแปลงยังสามารถลดหรือเพิ่มผลกระทบจากความแตกต่างของความไม่สม่าเสมอของดินได้อีกด้วย
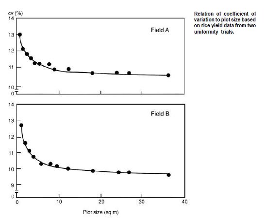
โดยทั่วไป ความคลาดเคลื่อนในการทดลองจะลดลงเมื่อขนาดแปลงเพิ่มขึ้น แต่การลดลงนั้นไม่ได้เป็นไปตามขนาดที่เพิ่มขึ้นเสมอไป
ขนาดแปลงไม่ได้ส่งผลแค่ความแปรปรวนเท่านั้น แต่ยังอาจทำให้ผลการทดลองเกิดความคลาดเคลื่อนได้อีกด้วย ดังนั้น แปลงควรมีขนาดกว้างพอที่จะสามารถถอนแถวขอบออกได้เมื่อจำเป็น

สำหรับพื้นที่ดินที่กำหนด จำนวนครั้งที่เราทำการทดลองจะลดลงเมื่อขนาดแปลงเพิ่มขึ้น ดังนั้น ความแม่นยำที่ได้จากการเพิ่มขนาดแปลงจะถูกลดทอนลงจากการลดจำนวนครั้ง แต่โดยทั่วไปแล้ว ตราบใดที่เรามีขนาดแปลงขั้นต่ำที่กำหนด การเพิ่มจำนวนครั้งจะช่วยเพิ่มความแม่นยำได้มากกว่าการเพิ่มขนาดแปลง
1.2 วิธีการเลือกขนาด รูปร่าง และการวางแนว
ในการทดลองในแปลง โดยทั่วไป แปลงจะมีขนาดตั้งแต่ 8 ถึง 25 ตารางเมตร ไม่ว่าคุณจะเลือกขนาดหรือรูปร่างใดก็ตาม ตรวจสอบให้แน่ใจว่ามีพื้นที่สำหรับการเก็บเกี่ยวผลผลิตอย่างน้อย 5 ตารางเมตร ซึ่งต้องเป็นพื้นที่ที่ไม่มีการแข่งขันจากพืชอื่นๆ และไม่มีผลกระทบจากขอบแปลง
ปัจจัยที่ต้องพิจารณา
ประเภทของการทดลอง: วิธีการที่เราใช้ในการทดลองมีผลต่อขนาดแปลง เช่น การทดลองปุ๋ยต้องการแปลงขนาดใหญ่กว่าการทดลองเปรียบเทียบพันธุ์ การศึกษาเรื่องการชลประทานอาจต้องใช้แปลงที่ใหญ่ขึ้นไปอีก ในการทดลองสารกำจัดแมลงหรือสารกำจัดวัชพืชที่ใช้การฉีดพ่น ความกว้างของแปลงอาจถูกกำหนดโดยระยะการพ่นของเครื่องพ่นที่ใช้ ความไม่สม่ำเสมอของดิน: ถ้าดินมีความแตกต่างกันในแต่ละจุด ควรใช้แปลงขนาดใหญ่ แต่ถ้าดินมีความแปรปรวนสม่ำเสมอในทุกทิศทาง รูปร่างของแปลงจะไม่สำคัญ แต่ถ้ามีความแตกต่างเป็นแนว (gradient) ควรวางด้านยาวของแปลงไปตามทิศทางที่มีความแปรปรวนสูงสุด ดังนั้น ถ้าเรารู้แนวความอุดมสมบูรณ์ การใช้แปลงสี่เหลี่ยมผืนผ้าที่วางแนวถูกต้องจะให้ความแม่นยำสูงกว่า แต่ถ้าไม่ทราบรูปแบบดิน การใช้แปลงสี่เหลี่ยมจัตุรัสจะเป็นทางเลือกที่ปลอดภัยที่สุด
อิทธิพลของขอบแปลง: ในการทดลองที่ขอบแปลงมีผลกระทบสูง แปลงสี่เหลี่ยมจัตุรัสจะดีที่สุด ในการทดลองพันธุ์ที่มีการแข่งขันกันระหว่างพันธุ์ ควรใช้แปลงที่มีอย่างน้อย 6 แถว เพื่อให้สามารถตัดแถวขอบออกด้านละ 1 แถว และเหลือ 4 แถวกลางสำหรับเก็บเกี่ยว
ความขาดแคลนเมล็ดพันธุ์: ถ้ามีเมล็ดพันธุ์จำกัด อาจต้องใช้แปลงขนาดเล็กมาก แต่จะต้องยอมรับค่าใช้จ่ายที่สูงขึ้นจากการใช้เทคนิคที่ละเอียดกว่าแปลงขนาดใหญ่